ニュース&イベント NEWS & EVENTS
中温域で10-2 S/cmを大きく超える酸化物超イオン伝導体a軸配向SDC電解質膜を開発
~中温作動型固体酸化物燃料電池への応用に一歩前進~
東京理科大学
東北大学
研究の要旨とポイント
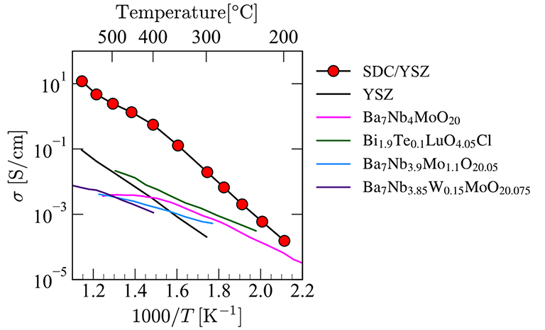
- (100)配向イットリア安定化ジルコニア(YSZ)基板上に成膜したa軸配向Sm3+ドープCeO2(SDC)薄膜が、200 ~ 550℃の中温域で動作し、極めて高い酸化物イオン伝導率(σ > 10-2 S/cm)を示すことを明らかにしました。
- イオン輸率が0.96に達することが確認され、電子伝導がほとんど抑制された純粋な酸化物イオン伝導体であることが実証されました。
- 本研究をさらに発展させることにより、中温域で実用できる次世代の固体酸化物形燃料電池や全固体電気二重層トランジスタ用途の電解質材料の開発が期待されます。
研究の概要
東京理科大学 先進工学部 物理工学科の樋口 透教授、同大学大学院 先進工学研究科 物理工学専攻の森實 亮太氏(2025年度 修士課程2年)、田淵 理久氏(2025年度 修士課程2年)、東北大学多元物質科学研究所の志賀 大亮助教、組頭 広志教授らの共同研究グループは、200 ~ 550℃の中温域で動作する固体酸化物燃料電池(SOFC)の新規電解質材料として、a軸配向 Sm3+ドープCeO2(Ce0.75Sm0.25O2-δ: SDC)薄膜を作製し、世界最高水準の酸化物イオン伝導度を実現しました。
現在実用化されているSOFCの多くは動作温度が高く、低コスト化やその用途拡大のために、中温域で優れた伝導度を示す固体電解質材料の開発が求められていました。そこで本研究グループは、SOFCの固体電解質材料として、RFマグネトロンスパッタリング法(*1)を用いて、(100)配向イットリア安定化ジルコニア(YSZ)単結晶基板上に、厚さ約20 nmのa軸配向SDC薄膜(SDC/YSZ)を作製し、酸素空孔率やイオン伝導度について評価しました。
各種分析の結果、SDC/YSZ薄膜は300℃で約0.05 kΩ cmという極めて低いバルク抵抗を示すことが明らかとなりました。また、中温域において10-2 S/cm超の高い酸化物イオン伝導率を示し、イオン輸率0.96(*2)を達成しました。この優れた性能は、(1)b-c面に形成された大量の酸素空孔(δ = 0.17)による効率的なイオン輸送、(2)約2.6 eVのエネルギーギャップによる電子伝導の抑制、(3)Ce 4f電子間の強いクーロン反発(*3)、という3つの要因に起因することも解明しました。これらの成果は、a軸配向SDC/YSZ薄膜が中温域で動作するSOFCおよび全固体電気二重層トランジスタ用の実用的な電解質材料として高いポテンシャルを持つことを示しています。
本研究成果は、2025年12月19日に国際学術誌「Journal of the Physical Society of Japan」にオンライン掲載されました。
図1 CeO2-δとCe0.75Sm0.25O1.83(SDC)の結晶構造
図2 本研究で作製したSDC/YSZ薄膜と従来の固体電解質材料の伝導率の比較
研究の背景
水素と酸素の電気化学反応を利用して発電する固体酸化物形燃料電池(SOFC)は、新たな発電システムとして期待されています。SOFCでは、酸化物イオン伝導性を有する固体電解質を介して、空気極で生成した酸化物イオンが燃料極へ移動し、水素と反応して電子を放出することで電力を生み出します。この高温作動型の反応機構は発電効率が高く、未反応のガスや排熱を有効活用できる点も大きな特徴であり、コージェネレーションシステム(熱電併給システム)として実用化されています。
固体電解質として酸化物イオン伝導性セラミックスを用いたSOFCは、700℃以上の高温で動作し、理論上50%を超える高い発電効率が得られます。代表的な電解質材料としては、イットリア安定化ジルコニア(YSZ)や蛍石型構造の酸化セリウム(IV)(CeO2)などがあり、いずれも高い安定性と酸化物イオン伝導性を示すことが知られています。一方で、これらの材料における酸化物イオン伝導は、結晶中に存在する酸素空孔の位置と濃度に強く依存することが、計算科学の側面から明らかになっています。これは、酸化物イオンが結晶格子内の酸素空孔と隣接サイトの間をホッピングして移動することに起因しています。
これまで、元素置換や材料組成の制御などを駆使し、200 ~ 550℃の中温域におけるYSZおよびCeO2の酸化物イオン伝導性を向上させるための広範な研究が行われてきました。さらに、過剰酸素を含むセラミックスは、中温域において優れた酸化物イオン伝導性を示すことも報告されています。これらの知見はSOFCの動作温度低下や発電効率の向上に寄与していますが、コスト効率に優れ、かつ製造が容易な電解質材料の需要は依然として大きいのが現状です。
この課題を解決するため、本研究グループは中温域で高い性能を示す新規酸化物電解質材料の創成を試みました。具体的には、RFマグネトロンスパッタリング法を活用して、(100)配向YSZ単結晶基板上に厚さ約20 nmのa軸配向Sm3+ドープCeO2(Ce0.75Sm0.25O2-δ: SDC)薄膜を作製し、その性能を評価しました。
研究結果の詳細
成膜直後のSDC/YSZ薄膜およびウェットアニール処理後のSDC/YSZ薄膜のX線吸収分光法(XAS, *4)により、ドープされたサマリウムイオンが3価(Sm3+)であること、セリウムイオンが4価(Ce4+)と3価(Ce3+)の混合原子価状態であることが明らかとなりました。また、Ce3+の割合は成膜直後のSDC/YSZ薄膜で12.3%、ウェットアニール処理後のSDC/YSZ薄膜で10.6%であり、ウェットアニール処理後にCe3+の割合が減少していることから、SDC/YSZ薄膜中に酸素が部分的に充填されていることが示唆されました。さらに、酸素欠損量を表すδは成膜直後のSDC/YSZ薄膜で0.17、ウェットアニール処理後のSDC/YSZ薄膜で0.16と推定され、酸素空孔率はともに8.5%でした。ウェットアニール処理後もδの値がほとんど変化しなかったことから、SDC/YSZ薄膜は水和反応によってプロトンを取り込んでいないことが確認されました。このように高い酸素空孔率が得られた要因は、25%という高濃度のSm置換と、成膜時に基板上で生じる強い還元反応によるものと考えられます。
交流インピーダンス測定(*5)から得られたCole-Coleプロット(*6)により、SDC/YSZ薄膜の抵抗率は約0.05 kΩ cmでした。これはAl2O3(0001)基板上に作製したSDC薄膜(約65 kΩ cm)に比べて約3桁低い値で、非常に優れたイオン伝導性を有することが明らかとなりました。また、Cole-Coleプロットの低周波領域で観測された2番目の半円は、イオンが電極界面に蓄積することによる電極分極を示しており、SDC/YSZ薄膜が酸化物イオン伝導体として機能することを裏付けています。
SDC/YSZ薄膜の伝導キャリアを特定するため、さまざまなガス雰囲気下で交流インピーダンス測定と時間依存直流分極測定を行いました。湿潤雰囲気と乾燥雰囲気で伝導率にほとんど差が見られなかったこと、酸素分圧依存性の傾きΔが約-0.06と小さかったことから、伝導キャリアは酸化物イオンであり、プロトン伝導はほとんど生じていないことが確認されました。さらに、電子伝導率は極めて低く、イオン輸率は0. 96に達しました。これらの結果から、SDC/YSZ薄膜は電子伝導が完全に抑制された、ほぼ純粋な酸化物イオン伝導体であることが実証されました。
本研究を主導した東京理科大学の樋口教授は、「典型的な酸化物イオン伝導体であるYSZ基板上に、多量の酸素欠陥を持つSm3+ドープCeO2の配向膜を作製できれば、実用水準の酸化物イオン伝導度を実現できると考え、本研究に至りました。本研究成果により200 ~ 550℃の中温域で動作するSOFCおよびAI素子に適用できる全固体電気二重層トランジスタの電解質材料としての応用が可能です」と、コメントしています。
※本研究は、日本学術振興会(JSPS)の科研費(25K01661)の助成を受けて実施したものです。また、光電子分光法(PES)およびX線吸収分光法(XAS)による測定は、高エネルギー加速器研究機構 物質構造科学研究所 放射光共同利用実験課題(2025G016, 2024S2-003)により実施されました。
用語
*1 RFマグネトロンスパッタリング法
交流の高周波電源を利用して、基板上に非常に薄い膜を作製する手法。セラミックスなどの絶縁体の堆積にも適用できる。
*2 イオン輸率
材料中の全伝導率のうち、イオン伝導が占める割合。
*3 クーロン反発
同じ符号の電荷間(プラスとプラス、マイナスとマイナス)にはたらく斥力。本研究ではCeの4f電子間(マイナスとマイナス)にはたらく力について言及している。
*4 X線吸収分光法(XAS)
X線の吸収を利用した分析法で、物質の電子状態や局所構造を調べることができる。
*5 交流インピーダンス測定
さまざまな周波数の交流電圧を材料に印加し、その応答電流を測定することで、材料内部の電気的特性(バルク抵抗、粒界抵抗、電極界面抵抗など)をそれぞれ評価できる手法。測定結果をCole-Coleプロット(ナイキストプロット)として表示することで、イオン伝導性や電子伝導性を詳細に解析することができる。
*6 Cole-Coleプロット
横軸を抵抗成分(実数部分)、縦軸をリアクタンス成分(虚数部分)としてプロットしたグラフ。材料内部の異なる電気的プロセス(バルク伝導、粒界伝導、分極など)がそれぞれ半円として現れるため、それぞれの現象を細かく評価できる。
論文情報
雑誌名
Journal of the Physical Society of Japan
論文タイトル
Oxide Superionic Conductivity of a-Axis-Oriented Ce0.75Sm0.25O2-δ Thin Film on Yttria-Stabilized Zirconia Substrate
著者
Ryota Morizane, Riku Tabuchi, Daisuke Shiga, Hiroshi Kumigashira and Tohru Higuchi
DOI
発表者
- 樋口 透
- 東京理科大学 先進工学部 物理工学科 教授
- 森實 亮太
- 東京理科大学大学院 先進工学研究科 物理工学専攻 修士課程2年
- 田淵 理久
- 東京理科大学大学院 先進工学研究科 物理工学専攻 修士課程2年
- 志賀 大亮
- 東北大学多元物質科学研究所 無機材料研究部門 ナノ機能物性化学研究分野 助教
- 組頭 広志
- 東北大学多元物質科学研究所 無機材料研究部門 ナノ機能物性化学研究分野 教授
