2026.02.03 Tuesday
A New Thermoelectric Material to Convert Waste Heat to Electricity
Researchers discover a new candidate, the mixed-semimetal MoSi2, that can be used to develop efficient thermoelectric devices
Thermoelectric conversion devices offer a promising route for sustainable heat-to-energy conversion. They are particularly attractive for recovering energy from waste heat, such as that produced by conventional fossil fuel-based engines, improving their overall energy efficiency. Around 20-50% of the input energy is lost as waste heat in industries. This could be used as source by thermoelectric conversion devices. These devices also have the potential to enable portable power generation, for example, to run small sensors in remote locations.
Currently, most thermoelectric devices rely on the longitudinal thermoelectric effect in which electricity is generated in the same direction as heat flow. Such devices generally consist of alternating layers of p- and n-type semiconductors connected in series. p- and n-type semiconductors generate electricity in opposite directions. When a temperature difference is applied across the device, the charge carriers in these materials move from the hot side to the cold side, generating a voltage. However, stacking many layers increases the electrical contact resistance at their interfaces, which leads to energy losses and limits overall efficiency.
Transverse thermoelectric (TTE) devices that generate voltage perpendicular to the direction of heat flow are a promising alternative. Importantly, TTE devices can be made from a single material, eliminating the need for multiple interfaces, significantly reducing contact resistance and improving overall efficiency. This also makes manufacturing simpler. However, materials that exhibit a strong TTE effect are rare.
In a recent study, a research team led by Associate Professor Ryuji Okazaki from the Department of Physics and Astronomy at Tokyo University of Science (TUS), Japan, demonstrated TTE behavior in the mixed-dimensional semimetal molybdenum disilicide (MoSi2). The team also included Ms. Hikari Manako, Mr. Shoya Ohsumi, and Assistant Professor Shogo Yoshida from TUS, as well as Assistant Professor Yoshiki J. Sato from Saitama University, Japan. Their findings were published in the journal Communications Materials on December 29, 2025.
"We wanted to explore new transverse thermoelectric materials. Recently, the presence of axis-dependent conduction polarity (ADCP) in a material has been recognized as an indicator for TTE generation ability," explains Dr. Okazaki. "Mixed-metal conductors like MoSi2 are potential ADCP candidates, but their thermopower generation ability has not been thoroughly investigated."
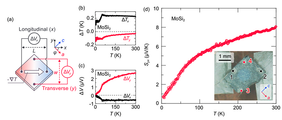
The researchers measured the transport properties of MoSi2 using both experiments and first-principles calculations. Specifically, they examined temperature dependence of resistivity and thermal conductivity, as well as longitudinal thermopower, along the material's two crystallographic axes. Thermopower measurements demonstrated clear ADCP, which was further confirmed through Hall resistivity measurements.
To probe the origin of ADCP, the researchers examined the electronic structure of MoSi2 using first-principles calculations. They found that ADCP originates from a mixed-dimensional Fermi surface structure, consisting of two Fermi surfaces with opposite polarities. The Fermi surface is essentially a boundary that separates filled and empty electronic states of a solid material. The shape of this surface, therefore, strongly determines the electronic and transport properties of the material.
Next, the researchers directly measured transverse thermopower of MoSi2 by applying a temperature difference at a 45-degree angle to one of its crystallographic axes. The results showed clear and substantial transverse thermopower signal. Notably, the magnitude of this signal was larger than that observed for tungsten disilicide (WSi2), another ADCP material examined previously by the team, mainly due to differences in how its electrons are distributed. Moreover, the transverse thermopower of MoSi2 was comparable to that of anomalous Nernst materials, which are magnetic materials well known for their strong TTE effects.
"These findings establish MoSi2 as an ideal material for TTE applications, particularly in the low-temperature range, thereby expanding the list of viable candidates," remarks Dr. Okazaki. "Moreover, both MoSi2 and WSi2 show that mixed-dimensional Fermi surfaces are important for the emergence of ADCP and therefore transverse thermopower."
By utilizing thin film of MoSi2 as an ideal material for TTE applications, large heat source area could be covered to produce voltage. Overall, this study represents a new direction for finding TTE materials, paving the way for efficient waste heat recovery systems for a greener future.
Image title: Transverse thermopower measurements of MoSi2
Image caption: MoSi2 demonstrates clear and large transverse thermopower, establishing itself as a promising candidate for developing efficient transverse thermoelectric devices.
Image credit: Associate Professor Ryuji Okazaki from Tokyo University of Science, Japan.
https://www.nature.com/articles/s43246-025-01050-4
License type: CC BY 4.0
Usage restrictions: Credit must be given to the creator.
Reference
| Title of original paper | : | Axis-Dependent Conduction Polarity and Transverse Thermoelectric Conversion in the Mixed-dimensional Semimetal MoSi2 |
| Journal | : | Communications Materials |
| DOI | : | 10.1038/s43246-025-01050-4 ![]() |
About The Tokyo University of Science
Tokyo University of Science (TUS) is a well-known and respected university, and the largest science-specialized private research university in Japan, with four campuses in central Tokyo and its suburbs and in Hokkaido. Established in 1881, the university has continually contributed to Japan's development in science through inculcating the love for science in researchers, technicians, and educators.
With a mission of "Creating science and technology for the harmonious development of nature, human beings, and society," TUS has undertaken a wide range of research from basic to applied science. TUS has embraced a multidisciplinary approach to research and undertaken intensive study in some of today's most vital fields. TUS is a meritocracy where the best in science is recognized and nurtured. It is the only private university in Japan that has produced a Nobel Prize winner and the only private university in Asia to produce Nobel Prize winners within the natural sciences field.
■
Tokyo University of Science(About TUS)
About Associate Professor Ryuji Okazaki
from Tokyo University of Science
Dr. Ryuji Okazaki is currently an Associate Professor at the Department of Physics and Astronomy at Tokyo University of Science, Japan. He received his Ph.D. degree from Kyoto University, Japan. He has published over 150 articles that have received over 3,300 citations, including a feature article in the journal Applied Physics Letters. He is the recipient of the Papers of Editors' Choice by JPSJ in 2017 from The Physical Society of Japan and the 2012 Award for Encouragement of Research in Materials Science. His research is focused on correlated electron systems and condensed matter physics.
About Assistant Professor Shogo Yoshida
from Tokyo University of Science
Funding information
This work was partly supported by the Japan Society for the Promotion of Science (JSPS) KAKENHI via Grants No. 22K20360, No. 22H01166, and No. 24K06945, and the Research Foundation for the Electrotechnology of Chubu (REFEC) via Grant No. R-04102.

